
在数理统计中,卡方分布具有重要意义,是统计推断里应用最广泛的概率分布之一,如何我们想要实现在假设检验与置信区间的计算,卡方分布是一个很好的操作方法,本文向大家介绍python中卡方分布的操作使用。
一、卡方分布是什么?
是统计学中的一个非常有用的著名分布,是概率统计里常用的一种概率分布,也是统计推断里应用最广泛的概率分布之一,在假设检验与置信区间的计算中经常能见到卡方分布的身影。
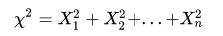
定义:设 X1…Xn是服从标准正态分布的随机变量,则称统计量![]()
服从自由度为n的卡方分布,自由度为n时,他的期望是n,方差为2n
使用语法
chisquare(df,size=None)
使用说明
df(自由度数)是独立随机变量,每个变量是标准正态分布(均值为0,方差为1),将其进行平方求和,得到卡方分布。
二、python卡方分布计算
根据p-value计算分位点
importscipy.stats printscipy.stats.chi2.ppf(0.05,5)
根据分位点计算p-value
fromscipyimportstats print1-stats.chi2.cdf(critical_value,DF)